Formswift Partnership Agreement
This agreement spells out important details like the nature of the business and the responsibilities of both parties. A partnership--in its various forms--offers its multiple owners flexibility and relative simplicity of organization and operation.
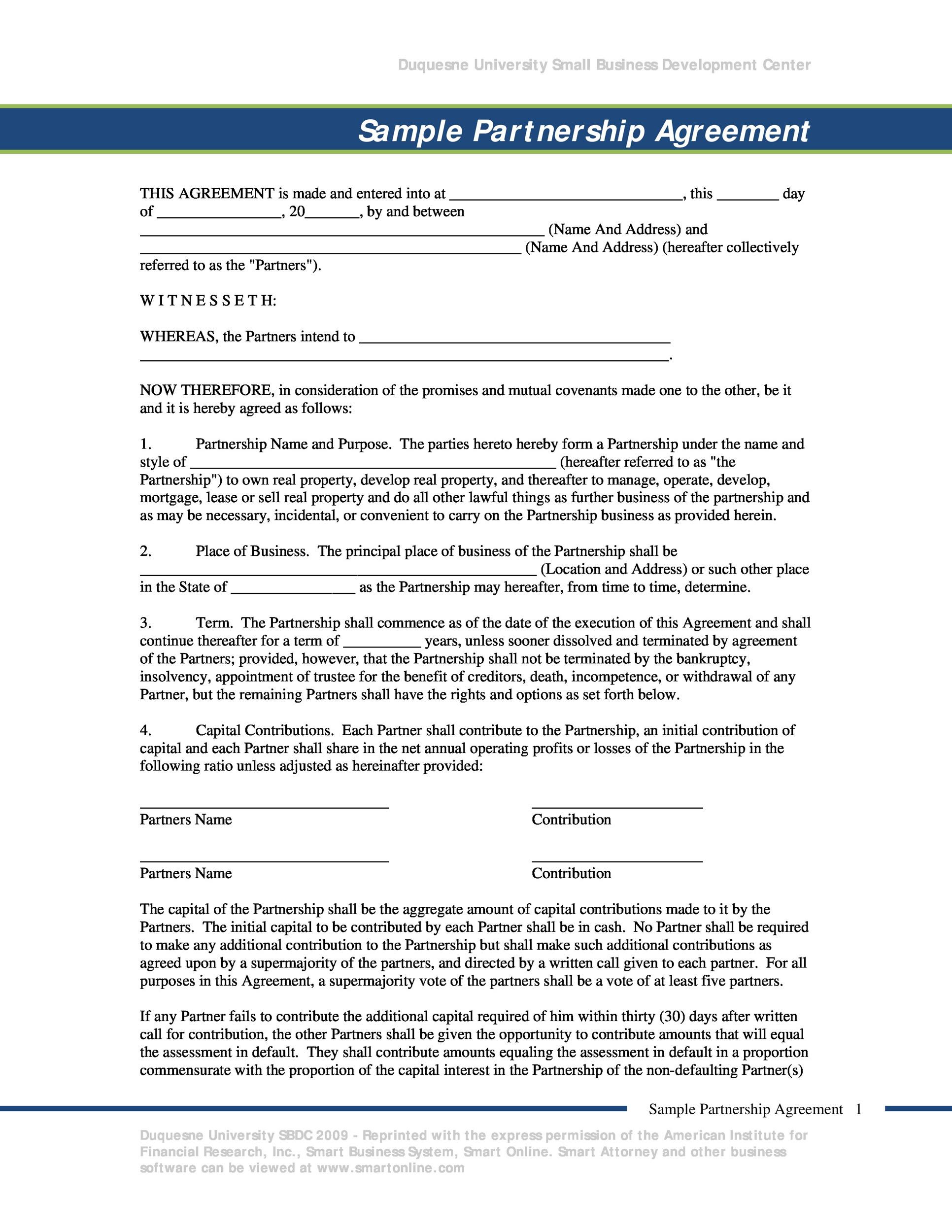
  Partnership Agreement 2 Partners Contract Template General Partnership Business Mentor  
A statement that the parties are entering into the agreement to explain the status ownership and division of property owned or acquired in the future by either party or the two parties together.

Formswift partnership agreement. An operating agreement form is a template for limited liability companies. Truebill is an independent third party service that acts as an authorized representative when cancelling subscriptions on your behalf. An operating agreement may be a legal requirement depending on where you incorporated your business.
In limited partnerships and limited liability partnerships a. This agreement contains all important details of the relationship to avoid conflicts in the future. The document may include information about how many members or partners are part of the LLC how management is.
That the parties recognize that the distribution of the property given a break up will be governed by the agreement and by state law if necessary. Small business legal forms are offered at FormSwift including confidentiality agreements bills of sales service contracts and loan agreements. In accordance with the terms conditions and covenants of this agreement the partners shall.
An agreement needs to include each individuals responsibilities. A waiver form releases a company or individual from liability for an act knowingly agreed upon and participated in by the signer of the waiver release. They are a cloud-based service that enables individuals and businesses to customize sign and download popular.
Form a general partnership the partnership for the purpose of in accordance with the laws of state. A Limited Partnership Agreement defines the terms of your partnership and helps protect the success of your future business venture. Small business forms may involve two or more parties and they should always include as much information as possible about the small business that is either being created or already exists.
Memorandum Of Understanding Free Mou Template Pdf Formswift 40 Free Partnership Agreement Templates Business General Capital Development Authority Rent Agreements Are For 11 Months But Why 14 Car Sale Receipt Templates Doc Pdf Free Premium Trust Deed Model In Tamil. With an understanding between you and your partners regarding your ownership rights and liabilities you can get back to working together towards your business goals. Partnership Agreement A partnership agreement is an agreement pledged in writing between two individuals who plan to work together.
The agreement protects each party in the event that a dispute occurs. Real estate Show Real Estate. A partnership agreement details information about the partners including what they invested into the business venture management of the business how profits.
Truebill is an independent third party service that acts as an authorized representative when cancelling subscriptions on your behalf. Generally office space is made up of a number of various offices dedicated to different trades and professions that are located in the same building although single-tenant properties are included as wellThis space encompasses accounting firms legal offices and other types of professional. FormSwift is a SaaS company providing businesses with a solution to their paperwork.
This instrument contains the sole agreement of the parties relating to their Partnership and correctly sets forth the rights duties and obligations of each to the other in connection with is as of its date. A Commercial Lease Agreement will cover almost all commercial property types including. A non-disclosure agreement is a form that establishes information two parties have agreed to not divulge often during a business relationship.
A partnership agreement is used between two people who want to start a business together. Truebill maintains no partnership or agreement with Form Swift. A the Agreement of Limited Partnership of the Company dated as of February 10 2005 by and among the Company Onex Partners LP and the other parties named therein as the same may be amended supplemented or otherwise modified from time to time the Partnership Agreement as if such Optionee were a signatory thereto and such Optionee acknowledges that each Option and all.
Its purpose is to explain how the business operates. The partnership shall operate under the name of business name. The partnership shall begin on the.
  Agreement Letter For Business Partnership Letter  
  Formswift Will And Testament Templates Create Wills Online  
  Free Partnership Agreement Template And Sample Formswift  
  Agreement Letter For Business Partnership Letter  
  Agreement Letter For Business Partnership Letter  
  Free Non Compete Agreement Templates Samples By State Formswift  
  Agreement Letter For Business Partnership Letter  
  Agreement Letter For Business Partnership Letter  
  Agreement Letter For Business Partnership Letter  
  Agreement Letter For Business Partnership Letter  
  Agreement Letter For Business Partnership Letter  
  Free Partnership Agreement Template Create A Partnership Agreement  
  Free Partnership Agreement Template And Sample Formswift  
  What Is An Llc Operating Agreement  
  Agreement Letter For Business Partnership Letter  
  Free Non Compete Agreement Templates Samples By State Formswift  
  Agreement Letter For Business Partnership Letter  
  Agreement Letter For Business Partnership Letter  
  Fillable Online Free Partnership Agreement Template And Sample Formswift Fax Email Print Pdffiller